- Trang chủ
- /
- Cáp đồng thoát sét
- /
- Kim thu sét hiện đại STORMASTER, ESE15, ESE 30, ESE 50 , ESE60
Hỗ trợ trực tuyến
Góc tư vấn
Bảo vệ ngôi nhà và gia đình bạn khỏi rủi ro sét đánh
06/11/2025
Giải pháp chống sét, an toàn cho nhà dân – chất lượng tiêu chuẩn TCVN&IEC, lắp đặt nhanh trong một ngày, chi phí minh bạch. Đăng ký khảo sát miễn phí ngay hôm nay - bảo vệ gia đình khỏi sét đánh. Gọi tư vấn miễn phí: 0961202785
Tự làm tủ cắt lọc sét lan truyền
10/04/2019
theo Tiến sĩ Nguyễn Xuân Anh, Việt Nam nằm ở tâm giông châu Á, là một trong ba tâm giông trên thế giới có hoạt động giông sét mạnh. Số ngày giông trung bình ở Việt Nam khoảng 100 ngày/năm và số giờ giông trung bình là 250 giờ/năm. Trong...
Hướng dẫn Lắp đặt, sử dụng thiết bị chống sét: Tránh hư hại đồ điện gia dụng
04/04/2018
Nhiều gia đình đã lắp đặt thiết bị chống sét truyền thống và đinh ninh đồ điện trong gia đình không bị ảnh hưởng khi trời mưa bão. Nhưng thực tế không phải như vậy. Theo ông Phạm Tiến An TP Kinh doanh, cán bộ tư vấn kỹ thuật Công ty...
Thuyết minh chống sét theo tiêu chuẩn việt nam
27/01/2018
Công ty chống sét Gia Anh chúng tôi sẽ giúp các bạn thuyết trình chống sét sân Golf theo tiêu chuẩn Việt Nam PHẦN I: THUYẾT MINH CHUNG 1. Hệ thống chống sét tia tiên đạo E.S.E: 1.1. Xác định nhóm công trình. Công trình xây dựng thuộc nhóm IV với những lý do...
Sét có thể đánh ta bằng những con đường nào?
31/07/2017
Nắm trong tay những lưu ý này, bạn sẽ tránh không phải nắm tay "Thần Sét" đi gặp "Thần Chết". Bài viết này, Gia Anh – chuyên thiết kế chống sét xin giới thiệu đến bạn những cách mà sét đánh đến con người chúng ta. Chúng ta biết rằng, sét là...
Những trường hợp nào dễ bị sét đánh nhất
31/07/2017
Những trường hợp nào dễ bị sét đánh nhất Bài viết này, Gia Anh – lắp đặt hệ thống chống sét xin nêu ra những trường hợp mà dễ bị sét đánh nhất để bạn phòng tránh vào lúc có sét nhé! 1. Lang thang ở nơi rộng rãi, quang đãng khi...
Giải pháp chống sét cho nhà máy
29/07/2017
Nhà máy sản xuất là nơi mà các hệ thống, thiết bị điện, điện tử… công nghệ thông tin, điều khiển và tự động hóa hoạt động liên tục. Ngoài ra, nhà máy cũng là nơi tập trung nhiều các nguồn nguyên vật liệu và thành phẩm dễ gây cháy...
Tìm hiểu về hệ thống chống sét
28/07/2017
Để lắp đặt hệ thống chống sét thì chúng ta cần ba bộ phận chính là bộ phận thu sét, dây xuống - dây thoát , cọc tiếp đất kim thu sét. Các chuyên gia chongsethanoi.com khuyến cáo, bên cạnh việc chống sét đánh trực tiếp vào tòa nhà, người...
Một số biện pháp phòng chống sét đánh
27/07/2017
Hiện đang vào mùa mưa giông ở Việt Nam vì vậy hiện tượng sét đánh thường xuyên xảy ra rất dễ gây nguy hiểm cho chúng ta. Tuy nhiên không phải ai cũng biết cách phòng chống sét, thi công chống sét giá rẻ để bảo vệ an toàn cho...
Những điều cần biết về hệ thống chống sét
25/07/2017
Ngày nay việc phòng chống sét là việc rất quan trọng vì những thiệt hại mà nó gây ra những năm trở lại đây là rất lơn. Các thiết bị điện tử, toàn nhà … hay thậm trí là con người cũng cần phải được bảo vệ trược nguy cơ...
Lắp hệ thống thiết bị chống sét nhà cao tầng
24/07/2017
Ở các thành phố lớn như Hà Nội thì việc nhà cao tầng được xây dựng san sát nhau thì rất phổ biến. Tuy nhiên trong thời kỳ mưa bão thì hiện tượng sét đánh lên nóc nhà hay cột điện gần đó cũng rất thường xuyên xảy ra. Lắp...
NGUỒN GỐC RA ĐỜI CỦA KIM THU SÉT
13/07/2017
Kim thu sét hay còn được gọi là cột thu lôi, đã được phát minh từ lâu để nhằm chống lại hiện tượng nguy hiểm nhất của thiên nhiên trong mùa mưa bão. Cùng Chongsethanoi.com chúng tôi tìm hiểu sự ra đời của kim thu sét nhé! 1/ NGUỒN GỐC Cột...
ĐỒNG THANH CÁI TIẾP ĐỊA LÀ GÌ?
13/07/2017
Tại Việt Nam hiện nay có hai phương pháp chính được sử dụng để liên kết các cọc trong cùng một hệ thống tiếp địa đó chính là dây dẫn và đồng thanh cái. Trong đó, các liên kết bằng dây được sử dụng nhiều hơn trong các công trình...
KIỂM ĐỊNH HỆ THỐNG CHỐNG SÉT THEO MỘT QUY TRÌNH NHẤT ĐỊNH
13/07/2017
Kiểm định hệ thống chống sét cần diễn ra theo một quy trình nhất định nhằm đảm bảo được tiến độ cũng như an toàn trong và sau khi thi công. Vậy, kiểm định chống sét là gì và tại sao cần phải kiểm định chống sét,… Trong bài viết...
DÙNG HÓA CHẤT GIẢM ĐIỆN TRỞ ĐẤT LÀ ĐIỀU RẤT CẦN THIẾT
12/07/2017
Được phát triển năm 1992, hóa chất giảm điện trở đất, được gọi tắt là GEM - là một vật liệu dẫn điện rất tốt. Hóa chất GEM có thể giúp giải quyết khó khăn khi thi công hệ thống tiếp đất một cách hiệu quả nhất. GEM là một...
LẮP ĐẶT CHỐNG SÉT LAN TRUYỀN CẦN TRÁNH MỘT SỐ SAI LẦM SAU ĐÂY!
12/07/2017
Việc lắp đặt hệ thống chống sét thực sự rất cần thiết nhưng không phải ai cũng biết cách lắp đặt an toàn, đảm bảo chất lượng và hiệu quả nhất. Có rất nhiều người tự tiến hành thực hiện lặp đặt và gặp phải sai lầm khiến cho hệ...
CHỌN VỊ TRÍ THI CÔNG CHỐNG SÉT LAN TRUYỀN PHÙ HỢP
12/07/2017
Việc lựa chọn vị trí để lắp đặt, thi công chống sét lan truyền sao cho phù hợp nhất chính là điều mà rất nhiều người quan tâm và đặt ra thắc mắc cho Chongsethanoi.com chúng tôi. Sau đây, thông qua bài viết này, chúng tôi xin giải đáp như...
ĐỐI PHÓ VỚI GIÔNG SÉT VÀO MÙA MƯA
11/07/2017
Sét là một hiện tượng của thiên nhiên, sét được hình thành bởi sự tích tụ điện và phóng điện trong khí quyển giữa các đám mây và mặt đất hay là giữa các đám mây mang điện tích trái dấu. Sét có thể đánh vào bất kỳ đâu, bất...
KIỂM ĐỊNH THIẾT BỊ CHỐNG SÉT ĐÁNH THẲNG CHO NHÀ CAO TẦNG
11/07/2017
Lắp đặt hệ thống chống sét cho nhà cao tầng trong mùa mưa bão không những bảo đảm tuyệt đối an toàn tính mạng cho mọi người mà còn hạn chế được những thiệt hại về vật chất. Vậy cách lắp đặt, thi công chống sét cho nhà cao tầng...
TÌM HIỂU VỀ CÁC LOẠI KIM THU SÉT
06/07/2017
Việc lắp đặt hệ thống chống sét chính là một trong những vấn được đề được nhắc đến nhiều nhất đối với thị trường Việt Nam và các nước phát triển khác trên thế giới khi mà điều kiện thời tiết ngày càng biến đổi như mưa gió bão, nhằm...
3 CÁCH PHÂN LOẠI CỌC TIẾP ĐỊA
06/07/2017
Nhiều gia đình ngày nay lắp đặt hệ thống chống sét nhằm bảo vệ tính mạng của các thành viên trong gia đình, chống hư hỏng cho thiết bị điện tử và công nghệ vào mùa mưa bão. Cọc tiếp địa chính là thành phần không thể thiếu khi lắp...
CÁC VẤN ĐỀ GẶP PHẢI KHI HÀN HÓA NHIỆT TRONG THI CÔNG CHỐNG SÉT
06/07/2017
Khi thi công hàn tiếp địa, hàn hóa nhiệt, chúng ta có thể gặp phải rất nhiều tình huống khác nhau vì lý do khách quan lẫn chủ quan. Vấn đề này tưởng chừng như đơn giản nhưng đôi khi lại vô cùng khó khăn nếu như không nắm rõ...
BẬT MÍ LOẠI HÓA CHẤT GIẢM ĐIỆN TRỞ ĐẤT ĐẾN TỪ MỸ
05/07/2017
Hóa chất giảm điện trở đất hay hóa chất làm giảm điện trở đất (GEM) chính là vật liệu đặc biệt của hệ thống tiếp địa, được dùng để bổ sung vào môi trường xung quanh cọc tiếp địa, làm tăng tính dẫn điện, làm giảm điện trở tiếp đất...
CÔNG NGHỆ PHÁT XẠ SỚM CỦA KIM THU SÉT
03/07/2017
Kim thu sét là một phần không thể thiếu khi lắp đặt hệ thống chống sét. Hãy cùng Chongsethanoi.com chúng tôi tìm hiểu về công nghệ phát xạ sớm của kim thu sét ngay sau đây. Hiện nay, trên thị trường có rất nhiều hãng sản xuất kim thu sét...
THIẾT BỊ CHỐNG SÉT LAN TRUYỀN GỒM 3 LOẠI NHƯ SAU!
29/06/2017
Trong quá trình kinh doanh dịch vụ thi công chống sét trọn gói của mình, có rất nhiều khách hàng thắc mắc với chúng tôi về thiết bị chống sét lan truyền bởi có rất nhiều cách hiểu khác nhau về thiết bị chống sét này. Để dễ hiểu hơn,...
NẰM LÒNG NGUYÊN LÝ BẢO VỆ CỦA CÁC THIẾT BỊ CHỐNG SÉT
28/06/2017
Các thiết bị chống sét có nguyên lý hoạt động như thế nào trong việc chống sét cho các công trình một cách hiệu quả? – Nếu như đây đang là mối băn khoăn của bạn và bạn chưa tìm được câu trả lời cho mình, đừng lo! Hãy tham...
CẦN LƯU Ý GÌ TRƯỚC THI CÔNG CHỐNG SÉT?
24/06/2017
Trước giai đoạn thi công thì bao giờ cũng là một quá trình thiết kế lắp đặt, và đối với thi công chống sét giá rẻ cũng vậy. Ngôi nhà của bạn đang được xây dựng và đang đi đến giai đoạn hoàn thành? Bạn cần thiết kế một hệ thống...
TẤT TẦN TẬT VỀ CỌC TIẾP ĐỊA TRONG HỆ THỐNG CHỐNG SÉT
21/06/2017
Trong quá trình thi công và lắp đặt hệ thống chống sét, bên cạnh kim thu sét, cáp thoát sét thì không thể thiếu cọc tiếp địa. Phải chăng bạn đang có sự bận tâm về thiết bị cọc tiếp địa này? Nếu vậy, đừng bỏ qua bài viết này...
2 LOẠI KIM CHỐNG SÉT BẠN CẦN BIẾT
20/06/2017
Lắp đặt hệ thống chống sét không thể thiếu kim chống sét (kim thu sét). Vậy bạn đã hiểu gì về kim thu sét hay chưa? Hãy cùng Chongsethanoi.com chúng tôi tìm hiểu ngay sau đây. Trước đây, kim thu sét là một thanh sắt hay thanh kim loại (gọi...
CẦN THIẾT PHẢI LẮP ĐẶT HỆ THỐNG CHỐNG SÉT CHO NHÀ CAO TẦNG
20/06/2017
Sét được chia thành rất nhiều loại khác nhau, ngoài sét đánh trực tiếp thì còn có sét đánh thứ cấp. Sét đánh thứ cấp lại được chia ra thành hai loại đó là sét đánh lan truyền và sét đánh cảm ứng (khi sét đánh thì luồng sét sẽ...
[Góc Nhìn Chuyên Gia] Tư Vấn Lắp Đặt Hệ Thống Chống Sét
30/05/2017
Sét là một trong những hiện tượng phóng điện tự nhiên được hình thành giữa các đám mây hoặc giữa các đám mây với mặt đất. Sét thường xảy ra vào mùa mưa và khi giông bão. Khi những tia sét xảy và phóng điện xuống mặt đất nó sẽ...
HƯỚNG DẪN CHỌN VAN CHỐNG SÉT AN TOÀN TRONG THI CÔNG CHỐNG SÉT GIÁ RẺ
30/05/2017
Việt Nam là nước có khí hậu nhiệt đới nóng ẩm và có mật độ giông sét cao trên thế giới. Khi sét đánh quá điện áp sẽ gây ra các sự cố trên hệ thống lưới điện. Vì thế van chống sét là thiết bị bảo vệ an toàn...
GÓI THI CÔNG CHỐNG SÉT GIÁ RẺ TOÀN DIỆN
30/05/2017
Để các cấu trúc, cũng như các hoạt động công nghiệp, thương mại và con người được bảo vệ một cách đáng tin cậy, đòi hỏi phải có một giải pháp có tính hệ thống và toàn diện để giảm thiểu hóa các mối nguy hiểm trong thi công chống...
KIỂM ĐỊNH, BẢO TRÌ VÀ THI CÔNG CHỐNG SÉT GIÁ RẺ
29/05/2017
Dịch vụ thi công chống sét giá rẻ là nhằm giảm thiểu những thiên tai có thể gây chết người và làm thiệt hại tài sản nghiêm trọng của sét. Điều đáng nói là không phải bất kỳ công trình nào cũng được bảo vệ bởi hệ thống chống sét...
Những điều cần biết vê lắp đặt hệ thống chống sét
29/05/2017
Để đảm cảo cho những công trình, những ngôi nhà, hay chính bạn và những người thân yêu mỗi khi mùa sét tới thì bạn cần phải biết rõ về việc lắp đặt hệ thống chống sét theo đúng chuẩn, sau đây là một vài điều bạn cần chú ý...
Hướng dẫn chi tiết cách lắp đặt hệ thống chống sét hiệu quả nhất
27/05/2017
Những hệ thống chống sét được lắp đặt chính xác sẽ mang đến cho bạn hiệu quả chống sét cao nhất. Cùng chongsethanoi.com tìm hiểu quy trình lắp đặt hệ thống chống sét đúng tiêu chuẩn nhé. Hướng dẫn chi tiết cách lắp đặt hệ thống tiếp địa chống sét đúng...
Những lý do bạn nên lắp đặt hệ thông chống sét
27/05/2017
Nếu bạn đang băn khoăn lo lắng, không biết có nên lắp đặt hệ thống chống sét cho nhà ở hay xưởng sản xuất của mình hay không? Bài viết sau đây sẽ gỡ rối giúp bạn, từ đó tự bạn sẽ có câu trả lời là nên hay không...
NHỮNG NGUYÊN TẮC TRONG LẮP ĐẶT HỆ THỐNG CHỐNG SÉT
25/05/2017
Bảo vệ các cấu trúc khỏi bị sét đánh trực tiếp cần phải có những nguyên tắc cơ bản bảo vệ của một lắp đặt hệ thống chống sét là để ngăn chặn năng lượng của sét ảnh hưởng đến các thiết bị điện tử nhạy cảm. Để đạt được...
VỊ TRÍ LẮP ĐẶT CHỐNG SÉT LAN TRUYỀN TRONG THI CÔNG CHỐNG SÉT TRỌN GÓI
25/05/2017
Sét làm gián đoạn công việc như hoạt động hàng không, hoạt động của ngân hàng, hàng hải, các hoạt động của đài truyền thanh truyền hình, các hệ thống thông tin liên lạc...vì thế chúng tôi cung cấp dịch vụ thi công chống sét trọn gói. Sét là hiện tượng...
5 bước lắp đặt hệ thống chống sét với Thiết bị thu sét phát xạ sớm tia tiên đạo
22/05/2017
Đây là 5 bước để lắp đặt hệ thống chống sét trực tiếp tiên tiến nhất trên Thế Giới hiện nay hệ thống chống sét tia tiên đạo gồm 3 bộ phận chính: + Thiết bị thu sét tia tiên đạo + Cáp đồng dẫn sét + Hệ thống nối đất chống sét b.1...
Giải pháp thi công chống sét trọn gói cho công trình
20/05/2017
Sét là hiện tượng tự nhiên có tính phá hoại rất lớn, năng lượng sét không những có thể gây thương vong cho con người, mà còn làm hư hỏng thiết bị, thậm chí phá hủy các công trình xây dựng… Vì vậy, việc thiết kế, thi công chống sét...
Chi tiết về lắp đặt hệ thống chống sét tiếp địa
20/05/2017
Trong lắp đặt hệt thống chống sét thì một bộ phân không thể thiếu trong sơ đồ thiết kế chống sét đó là hệ thống chống sét tiếp địa bài viết này sẽ giúp ta hiểu rõ cũng như các lắp đặt sao cho đúng tiêu chuẩn để bảo vệ...
Điều cần biết về hệ thống tiếp địa trong thi công chống sét trọn gói
19/05/2017
Hệ thống tiếp địa là bộ phận không thể tách rời đối với bất kỳ hệ thống thi công chống sét trọn gói nào. Hệ thống tiếp địa đóng vai trò quan trọng trong việc chống sét, nó đảm bảo cho việc dẫn các dòng xung sét từ các kim...
Kĩ thuật đóng cọc tiếp địa trong thi công chống sét trọn gói
19/05/2017
Cọc nối đất là một trong ba thiết bị chủ chốt, không thể thiếu trong bất cứ hệ thống thi công chống sét trọn gói nào. Một hệ thống tiếp địa càng chuẩn, càng tối ưu thì có thời gian sử dụng càng lâu và tránh được tối đa nguy...
Thiết bị cắt lọc sét cho thi công chống sét giá rẻ
18/05/2017
Dùng thiết bị cắt lọc sét cho thi công chống sét giá rẻ (thường là lắp nối tiếp với phụ tải) để vừa cắt xung điện sét , vừa lọc được các loại sóng hài , các nhiễu tần số cao của sét : a) Cấu hình: loại này gồm có...
DỊCH VỤ BẢO TRÌ VÀ THI CÔNG CHỐNG SÉT TRỌN GÓI
18/05/2017
Việc bảo trì và kiểm tra thi công chống sét trọn gói nên được thực hiện thường xuyên, ít nhất 1 năm 1 lần vào trước mùa dông sét, cần kiểm tra, sửa chữa, thay thế các thiết bị chống sét đã giảm khả năng cắt sét, đo điện trở nối...
Vai trò quan trọng của cột chống sét trong Thi công chống sét giá rẻ
16/05/2017
Sét là hiện tượng khi 2 dòng điện trái dấu, điện áp giữa hai dòng điện quá lớn, gây ra hiện tượng phóng điện. Thi công chống sét giá rẻ để đảm bảo dòng điện này khi phóng ra có công suất và nhiệt độ vô cùng lớn được giải...
Một số lưu ý khi thi công chống sét trọn gói hệ thống chống lan truyền
16/05/2017
Tiếp đất đúng cách là điều quan trọng đầu tiên khi triển khai và thi công chống sét trọn gói hệ thống chống sét lan truyền. Mọi giải pháp chống sét lan truyền đều phải bắt đầu từ tiếp đất. Ngay cả thiết bị chống sét lan truyền hàng đầu...
Thi công chống sét trọn gói để phòng ngừa nguy hại khôn lường
15/05/2017
Những lợi ích mà thi công chống sét trọn gói mang lại cho bạn nếu không sử dụng để chống sét. Trong tự nhiên sét được chia thành các loại: ngoài sét trực tiếp còn có sét đánh thứ cấp. Trong sét đánh thứ cấp có 2 loại là sét...
Cách tính toán lắp đặt hệ thống chống sét cho bạn
13/05/2017
Với lắp đặt hệ thống chống sét cho các tòa nhà hay các công trình, con người sẽ an tâm khi sét đánh xảy ra. Việc thi công chống sét và các giải pháp chống sét cũng đã được nhiều công ty áp dụng và đưa ra nhằm phục vụ...
Dịch vụ lắp dựng
Toàn bộ về hướng dẫn thiết kế, thi công chống sét trọn gói
19/04/2019
Khi thiết kế, thi công chống sét trọn gói sử dụng kim thu sét, chống sét phóng điện sớm, nhà thiết kế cần dựa vào lý thuyết và các yếu tố địa lý tại công trình để đưa ra các thiết kế đúng đắn cho một hệ thống chống sét,...
Dịch vụ đo điện trở chống sét trước mùa mưa bão
21/08/2018
Hệ thống chống sét hoạt động theo cơ chế dẫn sét từ cột thu lôi truyền xuống đất bằng cọc tiếp địa nhằm triệt tiêu dòng điện. Tuy nhiên, nếu lắp đặt thiết bị không đảm bảm, cách lắp không đúng sẽ dẫn sét đánh vào công trình dẫn đến cháy nổ, gây...
Lắp đặt, sử dụng thiết bị chống sét tia tiên đạo theo tiêu chuẩn châu Âu NFC 107-102 (2011)
21/05/2018
Nhiều gia đình đã lắp đặt thiết bị chống sét truyền thống ( Chống sét cổ điển bằng kim thu sét 1 đầu nhon ) và đinh ninh đồ điện trong gia đình không bị ảnh hưởng khi trời mưa bão. Nhưng thực tế không phải như vậy.
TÁC DỤNG CỦA DÂY THOÁT SÉT
08/11/2016
Sét là một trong những thiên tai gây ảnh hưởng trực tiếp, làm trì trệ các hoạt động kinh tế, xã hội, mang đến hậu quả nghiêm trọng cho người và tài sản. Nguy hiểm hơn, theo số liệu thống kê hằng năm, lượng người chết và bị trọng thương...
Chống sét đối với đường dây điện
08/11/2016
Khi vận hành, máy móc bị sự cố cắt điện, bị nhiễu do sóng sét xâm nhập hoặc khi đang làm việc, sét đánh chết người là vấn nạn cần có biện pháp giải quyết. Bởi vậy, việc bảo vệ chống sét có tầm quan trọng rất lớn để đảm...
Các yếu tố nguy hiểm và biện pháp phòng ngừa sét đánh
08/11/2016
Khi các thiết bị điện của trạm phân phối điện ngoài trời bị sét đánh trực tiếp thì sẽ gây những hậu quả ngiêm trọng : gây nên hư hỏng các thiết bị điện, dẫn đến việc ngừng cung cấp điện toàn bộ trạm trong một thời gian dài làm...
Các lưu ý khi thiết kế hệ thống chống sét
08/11/2016
Trước và trong cả quá trình thiết kế, đơn vị thiết kế cần trao đổi, thảo luận và thống nhất về phương án với các bộ phận liên quan
Cách phòng chống dông sét và vai trò của cột thu lôi
08/11/2016
Sét là một hiện tượng thiên nhiên thường xuất hiện vào những mùa giông bão. Nguồn điện từ tia sét có công suất cực kỳ lớn và có khả năng gây hại đến sức khỏe, tính mạng con người cũng như các vật dụng, các công trình…
Hệ thống chống sét và tiếp đất cho công trình
08/11/2016
Sự phát triển khoa học kỹ thuật ngày càng cao, các tòa nhà cao tầng, nhà máy… mọc lên ngày càng nhiều bên cạnh những nguy cơ gây nguy hiểm cho công trình, thiết bị và con người; trong đó, sét là một nguyên nhân có thể gây nguy hiểm...
7 điều cần biết về hệ thống chống sét
08/11/2016
Bạn chưa hiểu hệ thống chống sét bao gồm những bộ phận gì cấu thành nên. Chức năng của chúng ra sao, phạm vi hay còn gọi là vùng bảo vệ bao nhiêu. Cách kiểm định hệ thống chống sét cũng như bảo trì định kỳ nó ra sao....
Giải pháp chống sét trực tiếp thật đơn giản
08/11/2016
Hàng năm mưa dông kèm sét đánh gây ra những thiệt hại về người và tài sản như gia súc, nhà cửa tại các địa phương, việc trang bị một hệ thống chống sét trực tiếp bảo vệ con người và tài sản cho các đối tượng kể trên...
Nguyên lý hoạt động của kim thu sét truyền thống
08/11/2016
Kim thu sét là một phần không thể thiếu của hệ thống chống sét. Chúng ta cùng tìm hiểu nguyên lý hoạt dộng của kim thu sét cơ bản như thế nào.
Cách chống sét cho nhà ở
08/11/2016
Mùa mưa bão đang đến gần. Vấn đề phòng chống thiệt hại do sét gây ra cần được quan tâm đúng mức. Các gia đình nên tìm hiểu và trang bị những thiết bị phòng chống sét để đảm bảo an toàn tính mạng và của cải, giảm thấp nhất...
Cách chống sét cho nhà ở
08/11/2016
Sét được chia thành nhiều loại: ngoài sét đánh trực tiếp còn có sét đánh thứ cấp. Sét đánh thứ cấp có 2 loại là sét đánh lan truyền và sét đánh cảm ứng (khi sét đánh, luồng sét sẽ đánh lan truyền hoặc cảm ứng vào hệ thống điện...
Một số biện pháp phòng chống sét đánh mùa mưa bão
08/11/2016
Hiện tại đang trong mùa mưa bão nên người dân cần chủ động phòng tránh sét đánh bằng những biện pháp đơn giản, tiết kiệm, hiệu quả.
Hướng dẫn lắp đặt chống sét cho hộ gia đình
08/11/2016
Lắp đặt chống sét cho các hộ gia đình sẽ giúp bảo vệ ngôi nhà họ an toàn trong mùa mưa bão. Dưới đây là gợi ý hướng dẫn lắp đặt chống sét cho gia đình.
Quảng ninh lắp đặt chống sét cho tượng đài 25 tỷ đồng
08/11/2016
Cơ quan có thẩm quyền tai Quảng Ninh đã quyết định lắp đặt chống sét cho công trình cụm tượng đài văn hóa của thị xã Đông Triều tại ngã ba đường tránh thuộc xã Hồng Phong, đã bị sét đánh vỡ phần chóp sau vào ngày 16/5.
3 bước cơ bản lắp đặt hệ thống tiếp địa chống sét
08/11/2016
Lắp đặt hệ thống chống sét nên sử dụng cọc tiếp địa có kích thước như thế nào và quy trình lắp đặt ra sao? Cùng chúng tôi tìm hiểu về cách lắp đặt.
Hướng dẫn lắp đặt chống sét với cột thu lôi
08/11/2016
Lắp đặt chống sét với cột thu lôi là giải pháp mà nhiều doanh nghiệp hay tòa nhà cao tầng lựa chọn. Hãy cùng tìm hiểu nguyên tắc hoạt động và cách lắp đặt chống sét với cột thu lôi.
Cách phòng tránh và sơ cứu khi bị sét đánh
08/11/2016
Ôtô là nơi trú mưa tránh sét lý tưởng. Khi bị sét đánh, dòng điện truyền xung quanh xe đến mặt đất chứ không thể xâm nhập vào phía trong ôtô.
Tìm hiểu 4 dạng kim thu sét cơ bản
08/11/2016
Kim thu sét trên thị trường hiện có rất nhiều loại cho người tiêu dùng lựa chọn phù hợp với mục đích sử dụng và ngôi nhà của họ. Dưới đây là 4 dạng kim thu sét cơ bản.
Nguy cơ chết người từ những cột điện mùa mưa bão
08/11/2016
Miền Bắc đang vào mùa mưa bão. Những trận mưa to kèm theo sấm sét xảy ra khá thường xuyên. Và những cột điện trên đường phố tiềm ẩn hiểm họa chết người cho người dân trong những ngày mưa gió.
Thiết bị chống sét cho máy tính và cáp mạng
08/11/2016
Thiết bị chống sét cho máy tính và hệ thống mạng tại nhà và các doanh nghiệp trong mùa mưa bão tăng cao. Cùng tìm hiểu cách bảo vệ máy tính và mạng với các thiết bị chống sét như thế nào nhé!
Đăk Nông: Thiếu nữ bị sét đánh tử vong khi ăn cơm
08/11/2016
Một gia đình ở Đăk Nông không may bị sét đánh trúng nhà trong khi ăn cơm khiến cô gái 14 tuổi bị tử vong và những người bên cạnh bị thương nặng.
Các công thức sử dụng trong tiêu chuẩn thiết kế chống sét
08/11/2016
Khi lắp hệ thống chống sét, việc cần làm trước tiên là tính toán so cho hợp lý mọi vị trí để đặt các thiết bị chống sét đảm bảo an toàn nhất cho công trình.
Vị trí tốt nhất lắp đặt thiết bị chống sét lan truyền
08/11/2016
Thiết bị chống sét lan truyền cần được lắp đặt tại vị trí thuận lợi nhất cho việc tránh sét đánh và đảm bảo kim thu hoạt động hiệu quả nhất. Chúng ta cùng tìm hiểu vị trí lắp đặt thiết bị chống sét lan truyền tốt nhất .
Những điều cần biết về ổ cắm chống sét
08/11/2016
Ổ cắm điện là một trong những thiết bị dễ bị sét đánh nhất khi trời mưa bão. Sự ra đời của ổ cắm điện chống sét đã giải quyết được vấn để này. Tuy nhiên, trước khi mua, bạn nên biết những điều sau về loại ổ cắm này.
Vùng đất được sét "yêu thích" nhất
08/11/2016
Có một nơi trên trái đất cứ một phút lại phải hứng chịu 28 tia sét. Những tia sét ở đây cũng rất kì ảo và khiến bạn phải mê mẩn khi ngắm những bức hình sau:
Kiến thức cơ bản về hệ thống tiếp địa
08/11/2016
Hệ thống tiếp địa là một bộ phận không thể tách rời khi lắp đặt chống sét. Hệ thống tiếp địa bao gồm: cọc tiếp địa, Dây liên kết, Mối nối liên kết ,Hộp nối đất & kiểm tra.
TCVN 9385:2012 - Chống sét cho công trình xây dựng - Hướng dẫn thiết kế, kiểm tra và bảo trì hệ thống
08/11/2016
TCVN 9385:2012 được chuyển đổi từ TCXDVN 46:2007 thành Tiêu chuẩn Quốc gia. Tiêu chuẩn này đưa ra những chỉ dẫn thiết kế, kiểm tra và bảo trì hệ thống chống sét cho các công trình xây dựng.
Hướng dẫn lắp đặt thiết bị chống sét lan truyền và thiết bị cắt lọc
08/11/2016
Để đảm bảo an toàn lao động cho người và tài sản vật chất. Nhằm giàm thiệt hại tối đa cho các thiết bị điện – điện tử và các thiết bị viễn thông do ảnh hưởng của sét gây ra, chúng tôi đã nghiên cứu, tìm hiểu trên cơ...
Bí ẩn ‘ngọn núi Thiên Lôi’ ở Phú Yên
08/11/2016
Nằm ở độ cao 391m quanh năm mây phủ, chơi vơi giữa cánh đồng Tuy Hòa – Phú Yên, núi Chóp Chài thường xuyên hứng chịu những trận dông sét tóe lửa. Hơn 100 người sinh sống, làm việc trên núi Chóp Chài thì quá nửa đã bị Thiên Lôi...
Chống sét lan truyền bằng thiết bị cắt lọc sét
08/11/2016
Thiết bị cắt lọc sét trên thị trường hiện rất đa dạng về mẫu mã và chất lượng, trong đó cắt lọc sét OBO được chọn mua nhiều nhất. Chúng ta cùng tìm hiểu hệ thống chống sét lan truyền bằng thiết bị cắt lọc sét.
Bí ẩn của thiên lôi
08/11/2016
Hằng năm, chỉ riêng tại Mỹ, sét đánh chết hơn 200 người. Ngoài sét đánh trực tiếp, đã thấy nhiều kiểu sét đánh lạ đời khác. Kiểu sét đánh kỳ lạ nhất có lẽ là đánh qua... đường điện thoại.
So sánh 2 hệ thống chống sét FRANKLIN VS FARADAY
08/11/2016
Trên thế giới hiện nay, trải qua 250 năm kể từ khi Franklin đề xuất phương pháp chống sét(PPCS), trong lĩnh vực phòng chống sét đã có nhiều phương pháp khác nhau được sử dụng.Nhiều dạng thiết bị phòng chống sét được tung ra trên thị trường. Hiệu quả của...
Những điều kỳ thú về tia sét
08/11/2016
Sét không chỉ xuất hiện trong các cơn giông mà còn được quan sát khi núi lửa phun trào hoặc lốc xoáy, bão bụi.
Cơn mưa dông giáng sét đốt bỏng một phụ nữ
08/11/2016
Đang cấy lúa ngoài đồng Phú Xuyên, Hà Nội, thì cơn mưa dông xuất hiện, chị Thư 37 tuổi chưa kịp tìm chỗ trú thì bị sét đánh trúng bất tỉnh.
Những biến đổi của cơ thể người sau khi bị sét đánh
08/11/2016
Sét đánh có thể khiến hệ thống điện trong cơ thể người bị xáo trộn, làm thay đổi nhân cách, tâm trạng, gây mất trí nhớ.
Tại sao khi sấm sét bạn lại thấy tia chớp trước khi nghe thấy tiếng sấm?
08/11/2016
Bạn cũng đã biết rằng cứ 10 người bị sét đánh thì chỉ có 1 người vĩnh biệt chúng ta mà thôi.
Tìm hiều về "Tia Sét"
08/11/2016
Sét cũng được tạo ra bởi những cột tro trong những vụ phun trào núi lửa hoặc trong những trận cháy rừng dữ dội tạo ra một làn khói đặc đủ để dẫn điện.
Chống sét cho nhà cao tầng
08/11/2016
Tòa nhà cao tầng thường bao gồm các cấu trúc kim loại liên kết với nhau nên có thể sử dụng chúng như một phần của hệ thống bảo vệ, kể cả với các chóp nhọn ngoài trời.
Chuyên gia hướng dẫn chi tiết các cách phòng chống sét
08/11/2016
Trong trường hợp không kịp chạy tìm nơi ẩn náu an toàn, tuyệt đối không trú mưa dưới cây to, tránh các khu vực cao hơn xung quanh, tránh xa các vật dụng kim loại như xe đạp, xe máy, hàng rào sắt...
[Intro Graphic] Mẹo né "đòn trời" khi mưa dông lớn
08/11/2016
Khi đang đứng dưới mưa, nếu bỗng nhiên cảm thấy gai người, dựng tóc gáy, hãy nhanh chóng ngồi tư thế an toàn vì sét có thể đánh trúng bạn bất kì lúc nào.
Lâu đài chống sét phát xạ tia tiên đạo hiện đại nhất
08/11/2016
Lâu đài biệt thự kiểu pháp với chi phí làm chống sét hiện đại phát xạ tia tiên đạo với chi phí đến hơn 2 trăm triệu đồng.
Dịch vụ bảo trì hệ thống chống sét trực tiếp
08/11/2016
Việc bảo trì và kiểm tra hệ thống chống sét nên được thực hiện thường xuyên, ít nhất 1 năm 1 lần vào trước mùa dông sét; cần kiểm tra, sửa chữa...
Hiện tượng sét đánh chết người diễn ra thế nào?
08/11/2016
Sấm chớp là sự phóng điện giữa các phần khác nhau của một đám mây, hoặc giữa các đám mây. Còn sét là sự phóng điện từ các đám mây giông xuống đất. Dòng điện sấm sét có cường độ cực kỳ lớn từ vài chục nghìn tới hơn một...
Các hiện tượng thiên nhiên kì diệu làm con người "điên đảo"
08/11/2016
Thiên nhiên luôn ẩn chứa vô vàn điều thú vị. Cầu vồng đôi, mây vảy rồng, sóng biển phát sáng... là những hiện tượng thiên nhiên kỳ thú, tác phẩm tuyệt vời mà tạo hóa ban tặng cho con người. Cùng điểm lại một vài những hiện tượng thời tiết,...
Sét và công nghệ chống sét
08/11/2016
Theo tính toán của các nhà khoa học, vào một thời điểm bất kỳ, trên trái đất chúng ta đang sống có khoảng
Video GAC
Kim thu sét hiện đại STORMASTER, ESE15, ESE 30, ESE 50 , ESE60
Mã sản phẩm: ESE
Nhà sản xuất: Chống sét Gia Anh
7.500.000₫
Kim thu sét Stormaster ESE Nước sản xuất: ÚC Bán kính bảo vệ: từ 51 - 107m
KIM THU SÉT PHÓNG ĐIỆN SỚM STORMASTER
2.1 Giới thiệu
Kim thu sét Stormaster ESE của LPI là một hệ thống chống sét trực tiếp an toàn và hiệu quả cho các thiết bị của bạn. Kim thu sét Stormaster ESE của LPI thu năng lượng sét tại một điểm thích hợp. Sét được truyền xuống đất qua cáp thoát sét. Khi sét được truyền xuống đất, năng lượng sét được giải phóng một cách an toàn mà không gây nguy hiểm cho con người và thiết bị.
2.2. Phân loại
-Stormaster-ESE-15 & Stormaster-ESE-15-GI
-Stormaster-ESE-30 & Stormaster-ESE-30-GI
-Stormaster-ESE-50 & Stormaster-ESE-50-GI
-Stormaster-ESE-60 & Stormaster-ESE-60-GI
(*) GI Model – Sử dụng cho cột kẽm
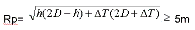
2.3 Công thức tính bán kính bảo vệ kim Stormaster
Bán kính bảo vệ (Rp) của kim thu sét phóng điện sớm Stormaster được tính theo công thức áp dụng tiêu chuẩn của Pháp NF C17-102 (tháng 07/1995).

-Những thống số quan trọng ảnh hưởng đến Rp
DT xuất hiện trong quá trình kiểm tra
Stormaster – ESE- 50=DT (μs) 50
Stormaster – ESE- 60=DT (μs) 60
h = độ cao (m) kim thu sét Stormaster trên phạm vi bảo vệ
D (m) phụ thuộc vào mức độ chọn bảo vệ, mức độ bảo vệ được tính theo phần B trong tiêu chuẩn NF C17-102.
D= 20m cho mức bảo vệ 1 (cấp bảo vệ cao nhất)
D= 45m cho mức bảo vệ 2 (cấp bảo vệ cao)
D= 60m cho mức bảo vệ 3 (cấp bảo vệ tiêu chuẩn)
2.4. Ưu điểm của kim STORMASTER
- Dễ dàng lắp đặt và không yêu cầu công tác bảo dưỡng đặc biệt
- Hệ thống sử dụng kim thu sét STORMASTER của LPI là giải pháp hiệu quả.
- Kim thu set Stormaster đã được thử nghiệm đầy đủ và đạt tiêu chuẩn NF C 17-102 (French National Standard) của Pháp
2.5. Bảng bán kính bảo vệ của STORMASTER
|
BÁN KÍNH BẢO VỆ (M) – (RP) |
|||||||||
|
H = độ cao của kim Stormaster trên vùng được bảo vệ (m) |
2 |
4 |
5 |
6 |
10 |
15 |
20 |
45 |
60 |
|
Cấp 1 – Cấp cao nhất |
|||||||||
|
Stormaster 15 |
13 |
25 |
32 |
32 |
33 |
34 |
35 |
35 |
35 |
|
Stormaster 30 |
19 |
28 |
48 |
48 |
49 |
50 |
50 |
50 |
50 |
|
Stormaster 50 |
28 |
55 |
68 |
69 |
69 |
70 |
70 |
70 |
70 |
|
Stormaster 60 |
32 |
64 |
79 |
79 |
79 |
80 |
80 |
80 |
80 |
|
Cấp 2 – Cấp bảo vệ cao |
|||||||||
|
Stormaster 15 |
18 |
36 |
45 |
46 |
49 |
52 |
55 |
60 |
60 |
|
Stormaster 30 |
25 |
50 |
63 |
64 |
66 |
68 |
71 |
75 |
75 |
|
Stormaster 50 |
35 |
69 |
86 |
87 |
88 |
90 |
92 |
95 |
95 |
|
Stormaster 60 |
40 |
78 |
97 |
97 |
99 |
101 |
102 |
105 |
105 |
|
Cấp 3 – Cấp tiêu chuẩn |
|||||||||
|
Stormaster 15 |
20 |
41 |
51 |
52 |
56 |
60 |
63 |
73 |
75 |
|
Stormaster 30 |
28 |
57 |
71 |
72 |
75 |
77 |
81 |
89 |
90 |
|
Stormaster 50 |
38 |
76 |
95 |
96 |
98 |
100 |
102 |
110 |
110 |
|
Stormaster 60 |
44 |
87 |
107 |
107 |
109 |
111 |
113 |
120 |
120 |
Chi tiết liên hệ:
Hot line: 0914377611 Email: Chongsethanoi@gmail.com